Jump to content
JWTalk - Jehovah's Witnesses Online Community

2025 Service Year Report of Jehovah’s Witnesses Worldwide


Recommended Posts

One thing that stood out to me was how strong the growth was in smaller countries. In several lands, the actual number of new publishers wasn’t large, but the percentage increase was very high. When a country has only a few hundred publishers and gains even 50 or 100 more, that can mean growth of 10%, 15%, or more. That kind of increase feels like momentum, not just maintenance.
 
Another highlight was countries that grew even though conditions are difficult. I noticed multiple lands with political problems, poverty, or instability still showing clear increases in publishers and Bible studies. Even small numerical growth in those places carries more weight because the obstacles are so real. The percentages there tell a stronger story than raw numbers.
 
A third thing that caught my attention was where Bible studies grew faster than publishers. In some countries, the number of Bible studies increased at a higher rate than the number of publishers. That tells me groundwork is being laid. It may not show immediate publisher growth yet, but it points to future growth already in progress.
  • Like 7
  • Care 1
  • Love 3

Bubbles Pt 1 — Glimpses of Wonder™

Catch a Glimpse

Link to comment
Share on other sites

I enjoyed reading about Cuba.  It is one of the 5 remaining communist countries in the world (and the only one in the Western Hemisphere). Still, they have 83,000 publishers and a ratio of 1 to 118 in their restricted country.  They have almost 11,000 pioneers and almost 200,000 at the Memorial.

 

Back in the 1950s, when I lived in Key West, FL we used to get TV live from Havana (which is only 90 miles away).

  • Like 10
  • Thanks 1
  • Love 5
Link to comment
Share on other sites

Just now, Sepie93 said:

It is becoming more and more difficult to get a residency over there. Many need-greaters and brothers with a another nationality are forced to leave the country.

Verstuurd vanaf mijn SM-S911B met Tapatalk
 

 

It's sad that one of the historical lands of Christianity is losing its members

 

May we pray that the local brothers pick up the pace

  • Like 3
Link to comment
Share on other sites

 Here is the plus and minus compare to 2024 Year Report. Any corrections, please do.

  • Branches of Jehovah’s Witnesses: 84  Same

  • Number of Lands Reporting: 241  +1

  • Total Congregations: 119,652  +825

  • Worldwide Memorial Attendance: 20,635,015  -484,427

  • Memorial Partakers Worldwide: 24,576  +1,364 *

  • Peak of Publishers : 9,205,326  +161,866

  • Average Publishers Preaching Each Month: 9,047,083  +218,959

  • Percentage of Increase Over 2024: 2.5

  • Total Number Baptized : 304,643  +8,376

  • Average Pioneer c Publishers Each Month: 1,743,567  +64,541

  • Average Auxiliary Pioneer Publishers Each Month: 864,870  -2,632

  • Average Bible Studies d Each Month: 7,603,182  +122,036

 

Past 1942 Memorial Partakers

  • Like 5
  • Thanks 4
Link to comment
Share on other sites

16 hours ago, Thomas Walker said:

We topped nine million.

 

304,643 Baptized is almost 35 new brothers and sisters an hour.

 

FWIW both of these significant numbers where released last month during the Governing Body 2025 #7

 

Average of 9,047,083 publishers during 2025 Service Year, representing a 2.5 percent increase:

 

image.thumb.png.a16da7c0d0d2d45171aa5fe226e9ac68.png

 

That 2.5 percent increase is also important .... it is the biggest percentage increase in publishers for 15 years - since 2010 - and follows an impressive 2.4% increase last year, in 2024

 

(FWIW a bit of rounding is involved, so the 2010 increase was 2.533%, and the 2025 increase was 2.480%.)

 

image.thumb.png.1b10d5599be7a82f58ff856d20673e04.png

 

 

304,643 baptized during the service year represents the biggest number of baptisms for 26 years - since 1999.... And only six previous years have ever had a higher number of baptism .... 

 

image.thumb.png.d885503f4fd0fd64caa4e1452d2c7474.png

 

(Note: baptism figures for 1956 and 1961 are not available)


Edited by Parale
  • Like 3
  • Thanks 3
  • Love 1
Link to comment
Share on other sites

12 hours ago, jwhess said:

enjoyed reading about Cuba.  It is one of the 5 remaining communist countries in the world (and the only one in the Western Hemisphere). Still, they have 83,000 publishers and a ratio of 1 to 118 in their restricted country.  They have almost 11,000 pioneers and almost 200,000 at the Memorial.

 

Interesting that Cuba branch never been closed. I know brother from Kiev who have military service on Cuba and studied Bible here. Brother went to some place and never got a problems, just once then tried to used for a some familiar issues.

  • Like 2
  • Thanks 1
Link to comment
Share on other sites

Little has changed in Britain, perhaps as expected.    (Bible studies & memorial attendance slipped a little)

We have an opportunity to increase Bible Studies (or should we say Bible Conversation, Discussion, (e.g. "why not get to know your Bible?")

If its on-going, we can report it as a study.

 

Britain

2024

2025

population

          69,196,000

          67,698,000

2024 Peak Pubs.

                 144,579

                 144,116

Ratio, 1 Publisher to

                           484

                           472

2024 Av. Pubs.

                 143,033

                 143,320

% Inc. Over 2023 /24

                                2

                               -  

2024 No. Bptzd.

                      2,395

                      2,372

Av. Pio. Pubs.

                    21,632

                    21,503

No. of Congs.

                      1,579

                      1,565

Av. Bible Studies

                    43,452

                    42,112

Memorial Attendance

                 229,344

                 223,423

There's more work to do brothers. 

Having said that, we had good increases in 2023 and 2024, so a slight drop is not very significant. 


Edited by Chris7

comment added
  • Like 1
  • Love 1

1 John 4:1 "Beloved ones, do not believe every inspired statement, but test the inspired statements to see whether they originate with God, for many false prophets have gone out into the world."

Link to comment
Share on other sites

17 minutes ago, Chris7 said:

There's more work to do brothers. 

Having said that, we had good increases in 2023 and 2024, so a slight drop is not very significant. 

For the record in Britain....

Britain

2023

2024

2025

population

   66,357,000

          69,196,000

          67,698,000

2024 Peak Pubs.

          142,073

                 144,579

                 144,116

Ratio, 1 Publisher to

                   474

                           484

                           472

2024 Av. Pubs.

          140,109

                 143,033

                 143,320

% Inc. Over 2023 /24

                         1

                                2

                               -  

2024 No. Bptzd.

               2,361

                      2,395

                      2,372

Av. Pio. Pubs.

            20,744

                    21,632

                    21,503

No. of Congs.

               1,599

                      1,579

                      1,565

Av. Bible Studies

            44,362

                    43,452

                    42,112

Memorial Attendance

          224,661

                 229,344

                 223,423

  • Like 2
  • Cherish 1

1 John 4:1 "Beloved ones, do not believe every inspired statement, but test the inspired statements to see whether they originate with God, for many false prophets have gone out into the world."

Link to comment
Share on other sites

10 hours ago, Foxes53 said:

What happened in Moldova?

 

Something definately happened.... but what?

 

Moldova is one of the former Soviet Republics which borders onto two countries: Ukraine and Romania.

In recent years Moldova has seen a fairly significant population drop.

The Moldova/Ukraine border is the location of the unrecognized breakaway republic of Transnistria.

 

https://en.wikipedia.org/wiki/Moldova

https://en.wikipedia.org/wiki/Transnistria

 

There also looks like a mistake in the figures? The SYR says there was a 10% decrease in Average Publishers, but the actual figures the SRYs list indicate that the number of Average Publishers went from 19,673 (2024) down to 15,422 (2025), a drop of 4,251 publishers, or a 22% decrease?

 

Any ideas? Anyone?

 

image.png.d974dede16a3750486bb0addb8f59316.png

 

  • Like 1
  • Confused 1
Link to comment
Share on other sites

5 hours ago, Dustparticle said:

 Here is the plus and minus compare to 2024 Year Report. Any corrections, please do.

  • Branches of Jehovah’s Witnesses: 84  Same

  • Number of Lands Reporting: 241  +1

  • Total Congregations: 119,652  +825

  • Worldwide Memorial Attendance: 20,635,015  -484,427

  • Memorial Partakers Worldwide: 24,576  +1,364 *

  • Peak of Publishers : 9,205,326  +161,866

  • Average Publishers Preaching Each Month: 9,047,083  +218,959

  • Percentage of Increase Over 2024: 2.5

  • Total Number Baptized : 304,643  +8,376

  • Average Pioneer c Publishers Each Month: 1,743,567  +64,541

  • Average Auxiliary Pioneer Publishers Each Month: 864,870  -2,632

  • Average Bible Studies d Each Month: 7,603,182  +122,036

 

Past 1942 Memorial Partakers

 

2.5% publisher increase, but total congregations are only up <1%

Congregations purposely getting bigger? Or is this about shortage of Kingdom Halls?

  • Like 2

The conclusion of the matter, everything having been heard, is: Fear the true God and keep his commandments, for this is the whole obligation of man. Ec 12:13

Link to comment
Share on other sites

21 hours ago, dljbsp said:

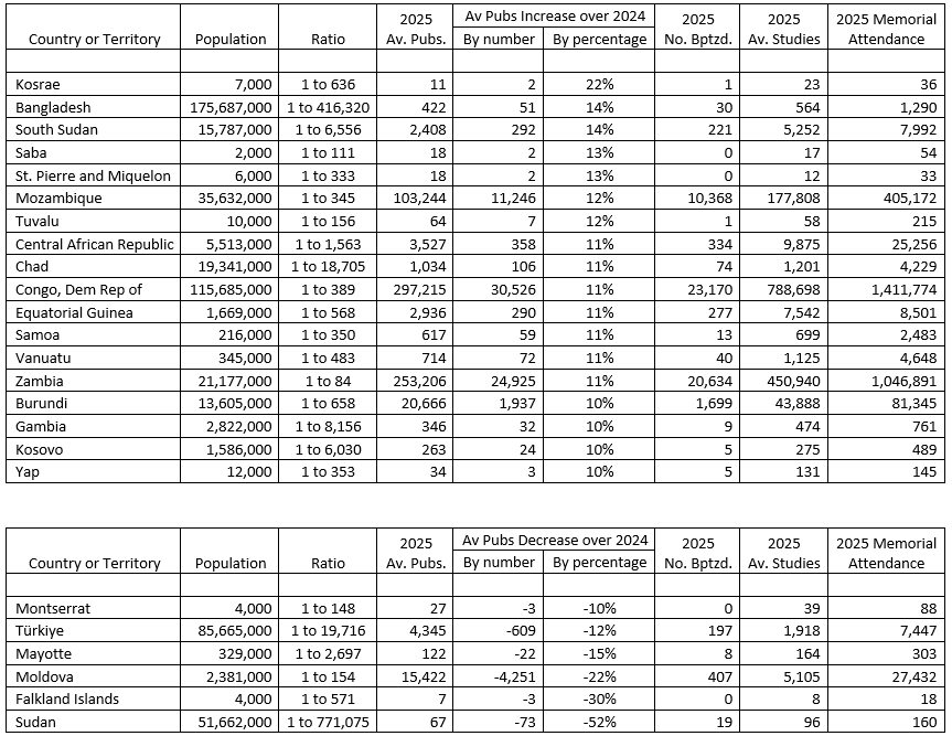
One thing that stood out to me was how strong the growth was in smaller countries. In several lands, the actual number of new publishers wasn’t large, but the percentage increase was very high. When a country has only a few hundred publishers and gains even 50 or 100 more, that can mean growth of 10%, 15%, or more. That kind of increase feels like momentum, not just maintenance.

 

Which lands stood out to you? One land had an increase of over 15%, 18 lands had increases of 10%, or more .....

 

There are a few interesting ones in the mix ....

 

image.png.19c17e3e6ed4a5a05812f7b317f3da43.png

 

(NOTE: Percentage decrease for Moldova adjusted using provided SRY figures)

  • Like 3
  • Thanks 1
Link to comment
Share on other sites

21 hours ago, dljbsp said:

Another highlight was countries that grew even though conditions are difficult. I noticed multiple lands with political problems, poverty, or instability still showing clear increases in publishers and Bible studies. Even small numerical growth in those places carries more weight because the obstacles are so real. The percentages there tell a stronger story than raw numbers.

 

Which lands did you notice? I saw four ...

 

https://www.gov.uk/foreign-travel-advice/burkina-faso

 

image.png.44d7f4bb30583bc14fb832d83107f547.png

 

https://www.gov.uk/foreign-travel-advice/central-african-republic

 

image.png.42b1e8bc89700851ecfe6fbe94fe0dbc.png

 

https://www.gov.uk/foreign-travel-advice/niger

 

image.png.83dd1f4d910bdca1f4e29b3a5d6127bc.png

 

https://www.gov.uk/foreign-travel-advice/south-sudan

 

image.png.03ef11a002464e42aa8a4f384294f2fb.png

  • Like 1
Link to comment
Share on other sites

1 hour ago, Parale said:

 

Something definately happened.... but what?

 

Moldova is one of the former Soviet Republics which borders onto two countries: Ukraine and Romania.

In recent years Moldova has seen a fairly significant population drop.

The Moldova/Ukraine border is the location of the unrecognized breakaway republic of Transnistria.

 

https://en.wikipedia.org/wiki/Moldova

https://en.wikipedia.org/wiki/Transnistria

 

There also looks like a mistake in the figures? The SYR says there was a 10% decrease in Average Publishers, but the actual figures the SRYs list indicate that the number of Average Publishers went from 19,673 (2024) down to 15,422 (2025), a drop of 4,251 publishers, or a 22% decrease?

 

Any ideas? Anyone?

 

image.png.d974dede16a3750486bb0addb8f59316.png

 

I think I have an idea.

We know that Belarus was one of the two lands newly added to the 'other lands' section of the report, and I've been wondering what the other area added could be. You've reminded me about transistria, and I suspect that this break away state of Moldova was added to the list of areas with where the brothers have legal issues that affect their worship. I believe that the reduction in publishers caused by separating transistria and the rest of Moldova was not included in the -10% loss in publishers there.

 

This, however, still wouldn't explain why they lost 10% of their publishers


Edited by Jan Brad
  • Like 2
  • Thanks 2
Link to comment
Share on other sites

Other lands av. Pub 2024: 210,500

Other lands av. Pub 2025 : 222,500

 

There was a 1.6% increase in 2025 which would bring it to 213,900.

Add Belarus: 213,900+6000 = 219,900

If we add part of Moldova's 22% decrease which had to do with transnistria then we arrive at the figure displayed in the report: 222,500.


Edited by Jan Brad
  • Like 4
  • Thanks 1
Link to comment
Share on other sites

Join the conversation with your brothers and sisters!


You can post now, and then we will take you to the membership application. If you are already a member, sign in now to post with your existing account.
Note: Your post will require moderator approval before it will be visible.

Guest
Reply to this topic...

×   Pasted as rich text.   Paste as plain text instead

  Only 75 emoji are allowed.

×   Your link has been automatically embedded.   Display as a link instead

×   Your previous content has been restored.   Clear editor

×   You cannot paste images directly. Upload or insert images from URL.

  • Recently Browsing   0 members

    • No registered users viewing this page.

About JWTalk.net - Jehovah's Witnesses Online Community

Since 2006, JWTalk has proved to be a well-moderated online community for real Jehovah's Witnesses on the web. However, our community is not an official website of Jehovah's Witnesses. It is not endorsed, sponsored, or maintained by any legal entity used by Jehovah's Witnesses. We are a pro-JW community maintained by brothers and sisters around the world. We expect all community members to be active publishers in their congregations, therefore, please do not apply for membership if you are not currently one of Jehovah's Witnesses.

×
×
  • Create New...

Important Information

We have placed cookies on your device to help make this website better. You can adjust your cookie settings, otherwise we'll assume you're okay to continue.

JWTalk 23.8.11 (changelog)